Pagkakatulad Ng Udhr Children'S Rights At Bill Of Rights
Madaming pagkakatulad at pagkakaiba ng UDHR Bill of Rights at Childrens Rights. Uri ng constitutional rights.
Ano Ano Ang Mga Nilalaman Ng Bill Of Rights
Ang UDHR o Universal Declaration of Human rights ay pangkalahatan at ito ay pinagtibay ng UN.

Pagkakatulad ng udhr children's rights at bill of rights. Ano ang pagkakatulad ng udhr at childrens rights. Ano-anong mga suliranin ang iyong nakikita. Subukan mong ilarawan ang iyong lipunan.
Madaming pagkakatulad at pagkakaiba ng UDHR Bill of Rights at Childrens Rights. Ang buong nilalaman noon ay mababasa sa mga susunod na pahina. At ang mga karapatang ito ay pinagtitibay at pinoprotektahan ng Bill of Rights o Katipunan ng mga Karapatan.
Porsiyento ng mga kabataang biktima ng child labor na nasa kategorya ng hazardous child labor. Nagkakaiba lamang ang mga ito sa lawak at sinasaklawan nilang mga lugar tao at pagkakataon. Ang mga bill of rights naman ay kadalasang mga karapatan ng mga tao sa isang bansa na nakalagay sa kanilang konstitusyon.
Paano ito nakaaapekto sa iyong pamumuhay. Technology and Home Economics 15062021 1515. Gamitin ang rubrik bilang gabay sa pagsagot.
Dito ay malinaw na nakasaad ang karapatan ng bawat mamamayan maging ang mga pamamaraan at polisiya ng. Pagkatapos sagutin ang tanong sa ibaba. Ang constitutional rights naman ay pinagkaloob dahil sa pagkakalimbag nito sa konstitusyon.
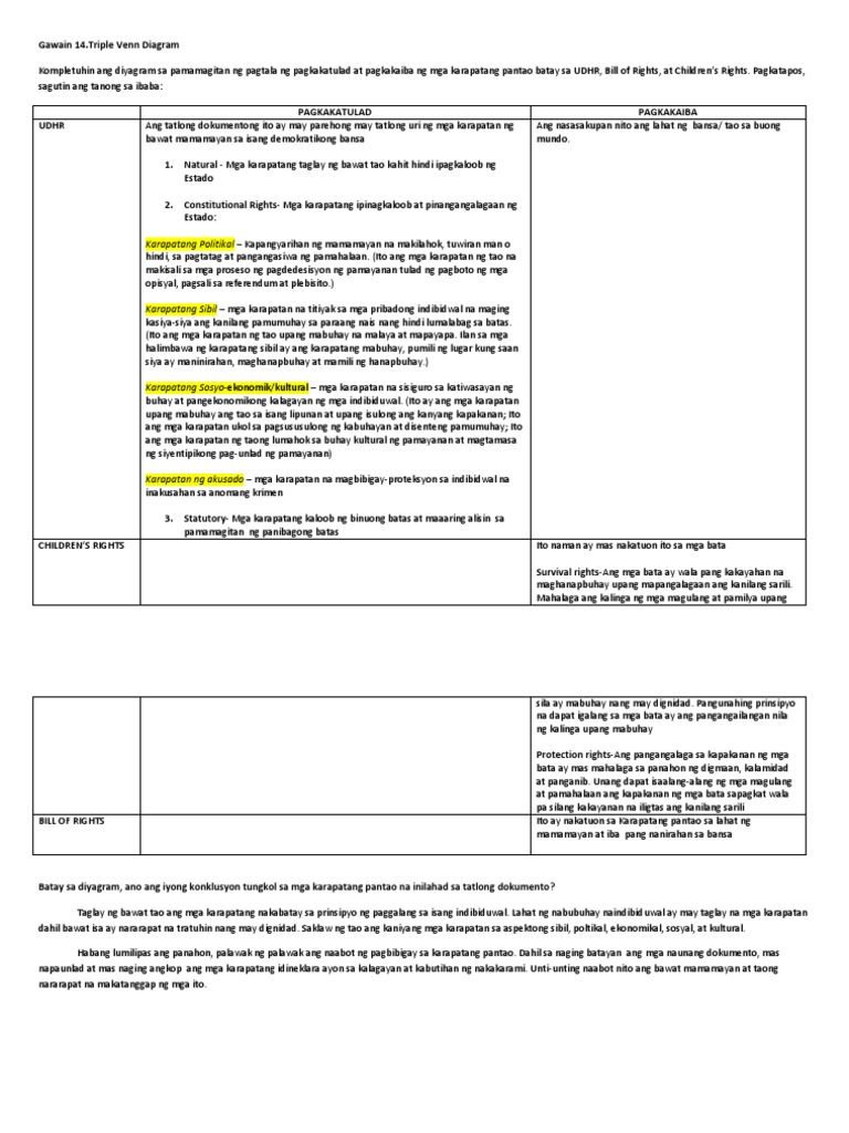
1 on a question Pagkakatulad at pagkakaiba ng mga karapatang pantao batay sa udhr bill of rights at childrens rights. Triple Venn Diagram Kompletuhin ang diyagram sa pamamagitan ng pagtala ng pagkakatulad at pagkakaiba ng mga karapatang pantao batay sa UDHR Bill of Rights at Childrens Rights. Madaming pagkakatulad at pagkakaiba ng UDHR Bill of Rights at Childrens Rights.
Contents of external links. Narito ang mga pagkakaiba ng CRC UDHR at BILL OF RIGHTS. 3 Kompletuhin ang diyagram sa pamamagitan ng pagtala ng pagkakatulad at pagkakaiba ng mga karapatang pantai batay sa UDHR bill of rights at Children rights.
Article 3 - Bill of Rights. Batay sa diyagram ano ang iyong konklusyon tungkol sa mga karapatang pantao na inilahad sa tatlong dokumento. Ang mga bill of rights naman ay kadalasang mga karapatan ng mga tao sa isang bansa na nakalagay sa kanilang konstitusyon.
Ang binubuo ng UDHR International Covenant on Civil and Political Rights at International Covenant on Economic Social and Cultural Rights. Universal Declaration of Human Rights Disclaimer. Ang mga bill of rights naman ay kadalasang mga karapatan ng mga tao sa isang bansa na nakalagay sa kanilang konstitusyon.
Noong Disyembre 10 1948 ang Pangkalahatang Kapulungan ng mga Bansang Nagkakaisa ay nagsagawa at nagpahayag ng Pandaigdig na Pahayag ng mga Karapatan ng Tao. Ang UDHR o Universal Declaration of Human rights ay pangkalahatan at ito ay pinagtibay ng UN. Ang UDHR o Universal Declaration of Human rights ay pangkalahatan at ito ay pinagtibay ng UN.
Pagkakatulad at pagkakaiba ng udhr at bill of rights and childrens rights. Madaming pagkakatulad at pagkakaiba ng UDHR Bill of Rights at Childrens Rights. Paano tinutugunan ng inyong komunidad ang mga nabanggit na isyu at hamon.
Gumawa ng repleksyon sa pamamagitan ng pagtala ng graphic organizer sa pagkakatulad at pagkakaiba ng mga karapatang pantao batay sa UDHR Bill of Rights at Childrens Rights. Physical Education 15062021 1515. Universal Declaration of Human Rights UDHR 13.
Pagkakatulad ng udhr billof rights sa childrens rights Ang nilalaman ng Universal Declaration of Human Rights UHDR Bill of Rights ay magkakaparehong mga karapatan at tinuturing na lahat ay karapatang pantao. Ang UDHR o Universal Declaration of Human rights ay pangkalahatan at ito ay pinagtibay ng UN. OHCHR is not responsible for the.
Tamang sagot sa tanong. -Lahat tayo ay ipinanganak nang malaya. Ang CHILDRENS RIGHTS ay naitatag ng 989 Convention on the Rights of the Child o CRC.
Ang mga natural rights ay ang mga karapantang pantao na ipinagkaloob sa atin mula ng tayo ay isinilang bilang pagkilala sa dignidad nga taoHalimbawa ay ang karapatang mabuhay. Ang UDHR o Universal Declaration of Human rights ay pangkalahatan at ito ay pinagtibay ng UN. Ito ay sinasabing isa pinakamataas at pinakamahalagang batas sa bansa na nakapaloob sa ating Konstitusyon o Saligang Batas.
Madaming pagkakatulad at pagkakaiba ng UDHR Bill of Rights at Childrens Rights. Sinasabi nito na sinumang bata na may edad na mas mababa sa 18 na taong gulang ay. Sa panimulang aralin na ito ay mauunawaan mo ang.
May tatlong uri ang karapatan - natural constitutional at statutory. It is the picture or color behind the slides content. CITIZENS ISSUE LEGAL BASIS 4th QUARTER Ang Universal Declaration of Human Rights at ang Bill of Rights -Ito ang pinasimpleng bersyon ng 30 Artikulo ng Universal Declaration of Human Rights ay nilikha lalo na para sa mga kabataan.
Gawin ito sa inyonh sagutamg papel. Hindi dapat alisan ng buhay kalayaan or ariarian ang sino mang tao nang hindi kaparaanan ng batas ni pagkaitan ang sino mang tao ng pantay na pangangalaga ng batas. Madaming pagkakatulad at pagkakaiba ng UDHR Bill of Rights at Childrens Rights.
Katipunan ng Karapatan o Bill of rights. Ang mga bill of rights naman ay kadalasang mga karapatan ng mga tao sa isang bansa na nakalagay sa kanilang konstitusyon. Ang mga bill of rights naman ay kadalasang mga karapatan ng mga tao sa isang bansa na nakalagay sa kanilang konstitusyon.
Ang mga bill of rights naman ay kadalasang mga karapatan ng mga tao sa isang bansa na nakalagay sa kanilang konstitusyon. Ang UDHR o Universal Declaration of Human rights ay pangkalahatan at ito ay pinagtibay ng UN.
![]()
Ayon Sa Dating Senador Na Si Loren Legarda Senate Womens Month Privilege Speech Course Hero

Triple Venn Diagrampanuto Kompletohin Ang Diyagram Sa Pamamagitan Ng Pagtala Nag Pagkakatulad At Brainly Ph
0 comments: